清华新闻网6月8日电 电介质电容器具有快的充放电速率和高可靠性,在现代电子电路系统中发挥着重要作用,也成为了高功率脉冲技术中不可替代的基础元器件。但是,随着储能器件小型化、集成化的发展,介电电容器相对较低的能量密度已成为目前亟待解决的主要问题,也是当今材料科学研究的热点之一。
beat365英国官方网站材料学院林元华教授等人通过在介电材料中引入熵的调控策略,利用熵稳定效应获得了热力学上不稳定的Bi2Ti2O7基烧绿石相材料(图1),其显示了大的晶格畸变。该材料是一类具有超低介电损耗和较高介电常数的线性介质材料,有益于获得高储能特性。

图1.高熵的畸变烧绿石相结构
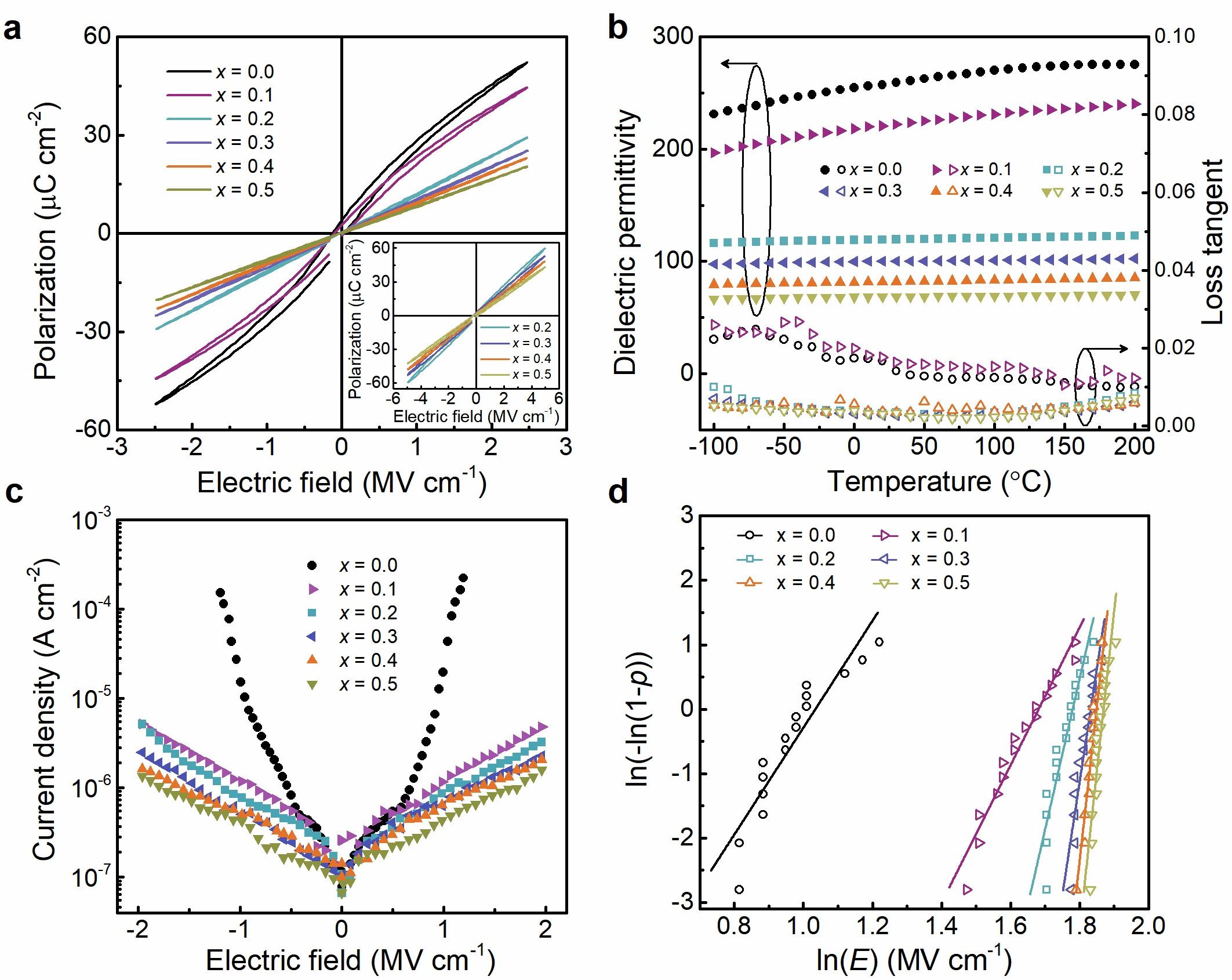
通过高熵的调控(多元素在等效晶格位上无序共存,如图1d所示),降低了稳定的烧绿石相的漏导与损耗、同时提升了其击穿场强,使其在高电场下可以有效降低滞回损耗,从而提升了储能效率(图2)。利用先进电子显微学方法对此高熵材料的显微结构与性能改善的关联性进行了研究,发现此材料由纳米晶和少量均匀分布非晶构成。随着熵的增加,纳米晶的晶粒尺寸逐渐减小,非晶相比例逐渐提升(图3)。小的纳米晶粒尺寸和非晶相的增加有利于材料绝缘性能的提升,且这类纳米晶和少量均匀分布非晶也使此材料可以保持较高的极化。最终,团队在x=0.4的高熵薄膜(~0.6 微米厚)中,实现了最优的182 J cm-3的储能密度和78%的效率,并具有极好的循环和温度稳定性(图4)。这种高熵的设计思路有望被广泛的用于提升介电材料储能特性。

图2. 极化、介电、漏导和击穿电场强度随着熵的演变

图3. 最佳成分材料中的纳米晶和非晶结构及不同熵值下的纳米晶尺寸和纳米晶/非晶比例

图4. 高熵薄膜的能量存储和稳定性表现
相关成果以“高熵提升介电能量存储”(High-entropy enhanced capacitive energy storage)为题,近日在线发表在国际期刊《自然·材料》(Nature Materials)上。
beat365英国官方网站材料学院博士后杨兵兵、beat365英国官方网站水木学者张扬博士和材料学院已毕业博士生潘豪(现为加州大学伯克利分校博士后)为文章的共同第一作者。beat365英国官方网站林元华教授、南策文院士和朱静院士为文章的共同通讯作者。论文的重要合作者还包括beat365英国官方网站材料学院司文龙博士、谷林研究员、孟繁琦博士后,中科院物理所张庆华副研究员,宾夕法尼亚州立大学陈龙庆教授,武汉理工大学沈忠慧副教授,澳大利亚伍伦贡大学张树君教授,南方科技大学何佳清教授、于勇博士,北京理工大学黄厚兵副教授等。本工作得到国家重点研发计划、国家自然基金委科学中心等项目的资助。
论文链接:
https://www.nature.com/articles/s41563-022-01274-6
供稿:材料学院
编辑:李华山
审核:吕婷